جواب کار در کلاس صفحه ۷۹ ریاضی یازدهم تجربی

جواب کار در کلاس صفحه ۷۹ ریاضی یازدهم تجربی برای دانش آموزانی که به دنبال حل این صفحه از کتاب ریاضی تجربی یازدهم هستند تا برای مطالعه و آمادگی بهتر جهت امتحانات مدرسه و امتحان نهایی هستند، در ادامه ارائه می شود.
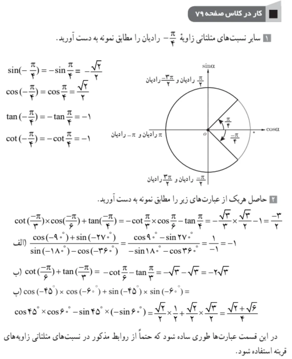
– پاسخ پیشنهادی کار در کلاس صفحه ۷۹ ریاضی یازدهم تجربی |
|
![]() |
مطالب مرتبط با این پست:
- دیدن جواب های بیشتر سایر صفحات در: جواب تمرین های ریاضی یازدهم تجربی
- مشاهده سایر دروس در: حل تمرینات کتاب درسی یازدهم
- مشاهده سایر پایه ها در: حل تمرینات کتاب درسی
- دیدن سوالات: امتحان نهایی ریاضی یازدهم تجربی
|
|
|
| پاسخ برگرفته از | راهنمای معلم تهیه شده توسط سازمان پژوهش و برنامه ریزی آموزش و پرورش
(کلیه حقوق مادی و معنوی برای مولفان محفوظ است و هر گونه استفاده دیگری نیاز به کسب اجازه از مولف آن دارد.) |
| هزینه برای دانش آموزان | دعای خیر برای شخص مولف |
| هماهنگ با نسخه سال چاپ | مطابق با نسخه چاپ ۹۶-۹۷ می باشد و برای سال های بعد، لطفا محتوای کتاب خود و محتوای این صفحه را تطبیق دهید و در صورت تایید، استفاده کنید. |
| تاریخ انتشار در سایت | تاریخ درج در پی سی کنکور : مرداد ۱۴۰۳ |












![[] [فیلیمو مدرسه]](https://p30konkor.com/wp-content/uploads/2025/09/728x11020.gif)
نظرتون در رابطه با مطلب بالا چیه؟
1- کامنت های مربوط به اشکالات و مشاوره درسی پاسخ داده نمی شود.
2- نظرات حاوی توهین، تحقیر و تمسخر به افراد یا سازمان ها دولتی یا خصوصی به هر شکلی تایید نمی شوند.
3- نظرات شما پس از ارسال، در اولین فرصت (حداکثر 24 تا 48 ساعت) تایید می شوند.
نکته مهم : پاسخ به کامنت ها نظر قطعی نمی باشد و توصیه می شود حتما از منابع مرجع همچون سازمان سنجش، آموزش و پرورش و مراکز دانشگاهی اطمینان لازم را به عمل آورید.
:: ارسال کامنت به معنی پذیرفتن شرایط ارسال دیدگاه می باشد. ::